| 開始日時 | 2021/09/16 10:17:48 | 終了日時 | 2021/09/16 14:00:15 |
| 水平距離 | 14.12km | 沿面距離 | 14.23km |
| 経過時間 | 3時間42分27秒 | 移動時間 | 3時間07分31秒 |
| 全体平均速度 | 3.84km/h | 移動平均速度 | 4.48km/h |
| 最高速度 | 75.58km/h | 昇降量合計 | 164m |
| 総上昇量 | 81m | 総下降量 | 83m |
| 最高高度 | 79m | 最低高度 | 24m |
【コース】
木津川台二丁目 ⇒ 吐師地区 ⇒ 京奈和自転車道 ⇒ 木津門樋の休憩所 ⇒ 泉大橋 ⇒ 泉橋寺地蔵尊 ⇒ 茶問屋ストリート
⇒ 上狛環濠集落 ⇒ 国道24号線を北へ ⇒ 開橋
3時間30分(10時半~14時) 14km 20,200歩
2021/09/16 11:03:38
京奈和自転車道は京都市西京区嵐山から奈良県内を経て、和歌山県和歌山港までを結ぶ、全長約180kmのサイクリングルートであり、京都府、京都市、奈良県及び和歌山県が連携して整備を行っています。
京都府(約45km)
京都八幡木津自転車道線
奈良県(約75km)
大和青垣吉野川自転車道線
和歌山県(約60km)
紀の川自転車道
2021/09/16 11:13:43
サイクリストの休憩所
奈良時代に行基菩薩によって木津川(旧名泉川)に架けられた泉大橋は、後に流れ落ちましたが、鎌倉時代に至って、残っていた橋柱から文殊菩薩を刻みだし、伽藍を建立して安置したのが現在の大智寺の前身の橋柱寺と言われています。泉大橋は、京都府木津川市の国道24号兼国道163号線上にある木津川に架かる橋であり、日本百名橋に選ばれている。
かつて木津川は、泉河とも呼ばれていた。 今日の泉大橋は、1951年に架けられた長さ383.6mルのカンチレバー(ゲルバー)式トラス橋である。西側(下流側)には、歩行者・自転車用の橋(1974年に竣工)が隣接し、東側(上流側)ではJR奈良線の鉄道橋がのぞめる。橋の南詰には京都八幡木津自転車道の終点がある。
【歴史】
行基が740年(行基年譜)か741年(行基大菩薩行状記)に架けたのが始まりとされる。 恭仁京の建設時には3か所で橋が架けられたが、876年には橋が洪水で流され、明治時代の1877年まで橋を架けずに船で渡ったと推定される。 仮設の橋だったこともあり2度にわたり橋が流され、1893年京都府費によって初めて両岸をつなぐ橋が架けられた。1901年には現在の橋より長い594メートルの橋が架けられるが、1917年に流されてしまう。その後、ボウストリングトラス構造の橋を経て、現在ある橋が架けられた。
(Wikipediaより)
2021/09/16 11:45:55
奈良時代の高僧行基が、天平十二年(740年)に開いた泉橋院(発菩薩院(ほつぼさついん)、隆福尼院(りゅうふくにいん)を前身とする寺院で、行基創建四十九院の一つで、泉大橋を守護・管理するために建立された寺院です。
境内には国の重要文化財に指定されている五輪塔(鎌倉時代後期、花崗岩、高さ 275Cm)があります
2021/09/16 11:46:41
泉橋寺表門に向かって左手にあり、山城大仏と俗称される丈六(約四・八五メートル)の石造。
現在は露仏。周りには堂の礎石が廻り、かっては礎石から見て本格的建築と推定される堂の中に安置。
永仁3年(1395)から石が切り出され、その13年後の徳治3年(1307)地蔵堂が上棟供養された。
願主は般若寺真円上人。文明3年(1471)大内政弘軍(応仁の乱)の木津・上狛攻めで地蔵堂も炎上。
地蔵石仏の全身はこの炎上で焼け爛れた。顔・両手は元禄3年(1690)の後補。
2021/09/16 11:50:00
浄土真宗本願寺派
2021/09/16 11:50:57
明治2年創業、京都府山城町の茶商から始まった宇治園
京都府の山城町と奈良県のほぼ境界にあり、笠置山から流れ来る木津川のほとり、京都宇治と、宇治田原・奈良田原という茶産地のほぼ中間に位置するところで、それぞれの産地から茶の見本を借りてきて、それを宇治の問屋にもって行き注文を受けて産地に戻る「トンビ」(仲買)という茶商を重村源兵衛が始めた。やがて源兵衛は長女・千代乃の婿養子に、同じ山城町の川辺家から又三郎を迎え入れ、その又三郎がトンビ業から問屋業に発展させる。
昭和45年(1970年)万博博・松下館で世界の人々に伝統ある日本の茶道を紹介する
ホームページ『宇治園 京都山城創業明治2年 - お茶と抹茶スイーツ」
2021/09/16 11:54:20
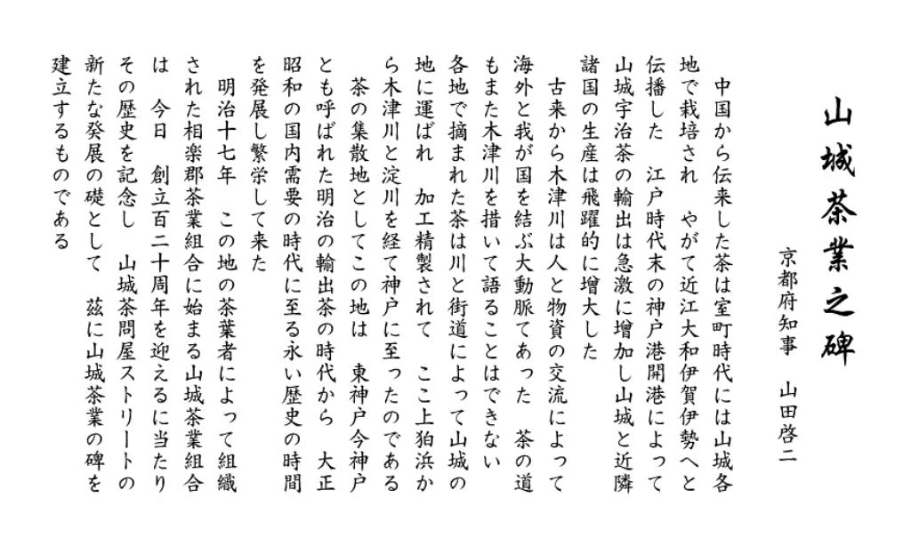
上狛は木津川水運を利用した交通の要所であり、その地の利から茶問屋が形成されてきました。幕末から明治・大正・昭和初期に建設された茶問屋の建物が現存でも40件ほど軒を連ね「茶問屋ストリート」とも呼ばれています。平成16年には山城茶業組合創立120周年を記念して山城茶業之碑が建てられました。
2021/09/16 12:00:38
府県庁所在地である京都市、奈良市、和歌山市を結ぶ延長約235.6 kmの一般国道の路線で、起点の京都市下京区の国道1号分岐(烏丸五条交差点)から南下して奈良盆地、和歌山平野に沿って西に向かい、和歌山県庁前の県庁前交差点に至る。
関西圏では国道171号や国道176号(三田市以南)とともに渋滞酷道と呼ばれるほど渋滞が慢性的である。この渋滞を解消すべく、バイパスの京奈和自動車道が建設されてきた。
通称「大里」と呼ばれ、長径600メートル、短径300メートルの周囲を掘りに囲まれ、山城国一揆の中心となった。
日本の環濠集落の中でも規模の大きいものの一つ。
2021/09/16 12:28:55
2021/09/16 12:46:13
ここで昼食予定していたが、コロナ感染対応で休業中
昭和二十二年頃までは開(ひらき)の渡しがあったが、その後、木橋(雨が降り川の水嵩が増加すると自然に橋は流れる、所謂流れ橋)が架けられた。
この橋は夏秋の増水期には流れ、復旧は 春まで待つことになる。
そのため渡しが復活されたこともあった。
またこの橋を時代劇映画の撮影でよく利用されていた。
昭和四十七年三月に現在の「開橋」が開通して国道二十四号による京都、奈良、和歌山、そして大阪へと、陸運の中間地点とし、生活に欠かせない橋となっている。